Skip to content Skip to main navigation Skip to footer

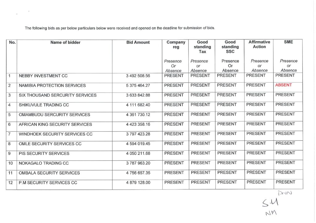
BID OPENING REPORT: PROVISION OF SECURITY AND CASH IN TRANSIT SERVICES FOR A PERIOD OF 36 MONTHS FOR ARANDIS TOWN COUNCIL

0 Comments

There are no comments yet

Leave a comment

Your email address will not be published. Required fields are marked *